Официальное опубликование правовых актов
ОФИЦИАЛЬНОЕ ОПУБЛИКОВАНИЕ
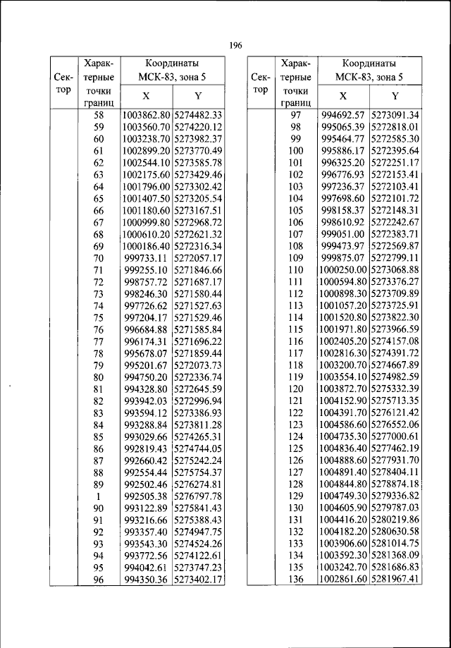
Приказ Федерального агентства воздушного транспорта от 28.09.2023 № 815-П
"Об установлении приаэродромной территории аэродрома гражданской авиации Нарьян-Мар"
(Зарегистрирован 26.10.2023 № 75749)
Номер опубликования: 0001202310270002
Дата опубликования: 27.10.2023
Страница №197 из 285:
Увеличить