Официальное опубликование правовых актов
ОФИЦИАЛЬНОЕ ОПУБЛИКОВАНИЕ
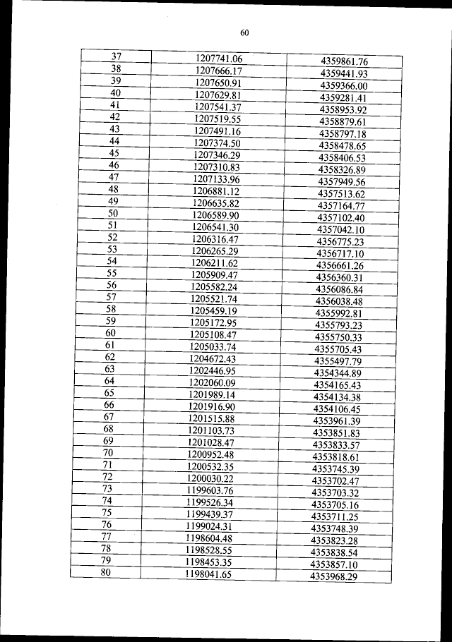
Приказ Федерального агентства воздушного транспорта от 09.08.2023 № 644-П
"Об установлении приаэродромной территории аэродрома гражданской авиации Ноябрьск"
(Зарегистрирован 22.09.2023 № 75308)
Номер опубликования: 0001202309250019
Дата опубликования: 25.09.2023
Страница №61 из 388:
Увеличить