Официальное опубликование правовых актов
ОФИЦИАЛЬНОЕ ОПУБЛИКОВАНИЕ
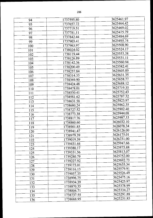
Приказ Федерального агентства воздушного транспорта от 10.08.2023 № 648-П
"Об установлении приаэродромной территории аэродрома гражданской авиации Ямбург"
(Зарегистрирован 06.09.2023 № 75109)
Номер опубликования: 0001202309060010
Дата опубликования: 06.09.2023
Страница №207 из 507:
Увеличить