Официальное опубликование правовых актов
ОФИЦИАЛЬНОЕ ОПУБЛИКОВАНИЕ
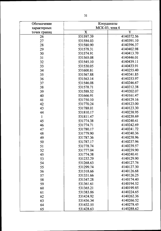
Приказ Федерального агентства воздушного транспорта от 28.07.2023 № 595-П
"Об установлении приаэродромной территории аэродрома гражданской авиации Улан-Удэ (Мухино)"
(Зарегистрирован 29.08.2023 № 74994)
Номер опубликования: 0001202308300004
Дата опубликования: 30.08.2023
Страница №32 из 1391:
Увеличить