Официальное опубликование правовых актов
ОФИЦИАЛЬНОЕ ОПУБЛИКОВАНИЕ
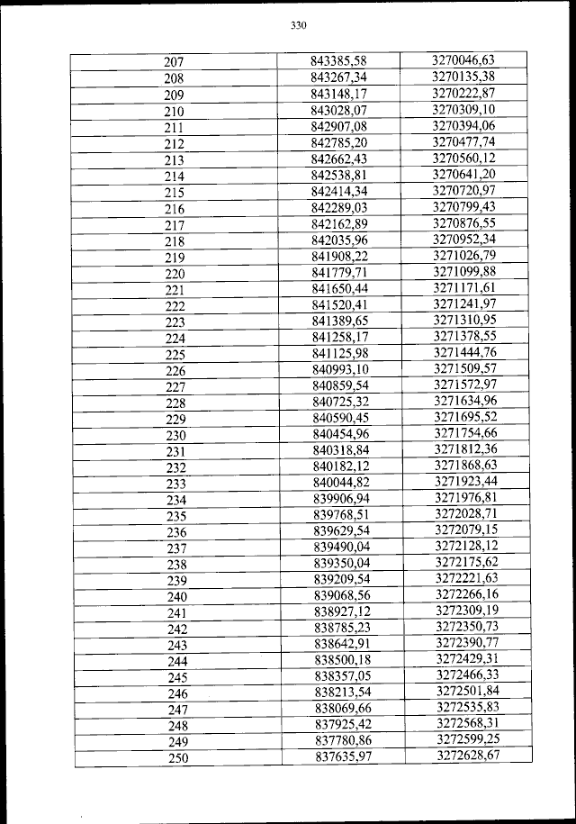
Приказ Федерального агентства воздушного транспорта от 28.07.2023 № 594-П
"Об установлении приаэродромной территории аэродрома гражданской авиации Зея"
(Зарегистрирован 25.08.2023 № 74957)
Номер опубликования: 0001202308250021
Дата опубликования: 25.08.2023
Страница №331 из 409:
Увеличить