Официальное опубликование правовых актов
ОФИЦИАЛЬНОЕ ОПУБЛИКОВАНИЕ
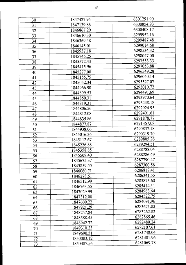
Приказ Федерального агентства воздушного транспорта от 19.07.2023 № 542-П
"Об установлении приаэродромной территории аэродрома гражданской авиации Усть-Куйга"
(Зарегистрирован 16.08.2023 № 74820)
Номер опубликования: 0001202308170004
Дата опубликования: 17.08.2023
Страница №44 из 61:
Увеличить