Официальное опубликование правовых актов
ОФИЦИАЛЬНОЕ ОПУБЛИКОВАНИЕ
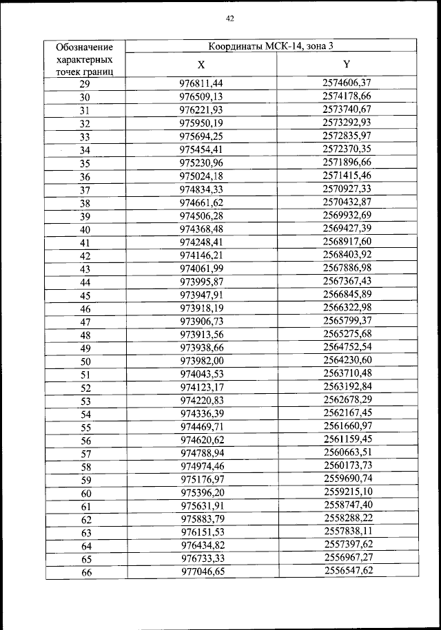
Приказ Федерального агентства воздушного транспорта от 19.07.2023 № 540-П
"Об установлении приаэродромной территории аэродрома гражданской авиации Сунтар"
(Зарегистрирован 16.08.2023 № 74811)
Номер опубликования: 0001202308160014
Дата опубликования: 16.08.2023
Страница №43 из 59:
Увеличить