Официальное опубликование правовых актов
ОФИЦИАЛЬНОЕ ОПУБЛИКОВАНИЕ
Приказ Федерального агентства воздушного транспорта от 30.06.2023 № 471-П
"Об установлении приаэродромной территории аэродрома гражданской авиации Белгород"
(Зарегистрирован 04.08.2023 № 74635)
Номер опубликования: 0001202308040122
Дата опубликования: 04.08.2023
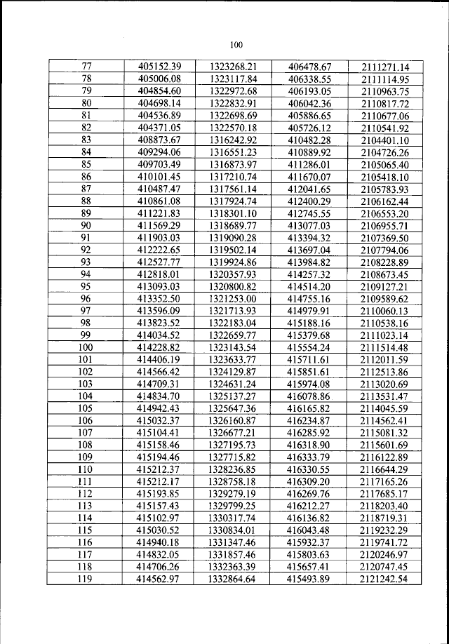
Страница №101 из 286:
Увеличить