Официальное опубликование правовых актов
ОФИЦИАЛЬНОЕ ОПУБЛИКОВАНИЕ
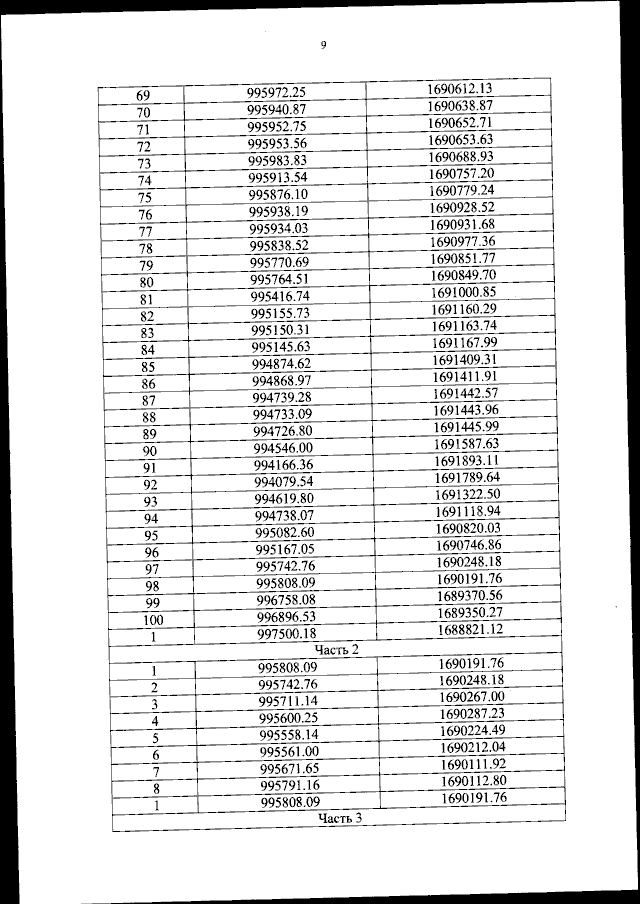
Приказ Федерального агентства воздушного транспорта от 30.06.2023 № 473-П
"Об установлении приаэродромной территории аэродрома гражданской авиации Советский"
(Зарегистрирован 01.08.2023 № 74574)
Номер опубликования: 0001202308020011
Дата опубликования: 02.08.2023
Страница №10 из 393:
Увеличить