Официальное опубликование правовых актов
ОФИЦИАЛЬНОЕ ОПУБЛИКОВАНИЕ
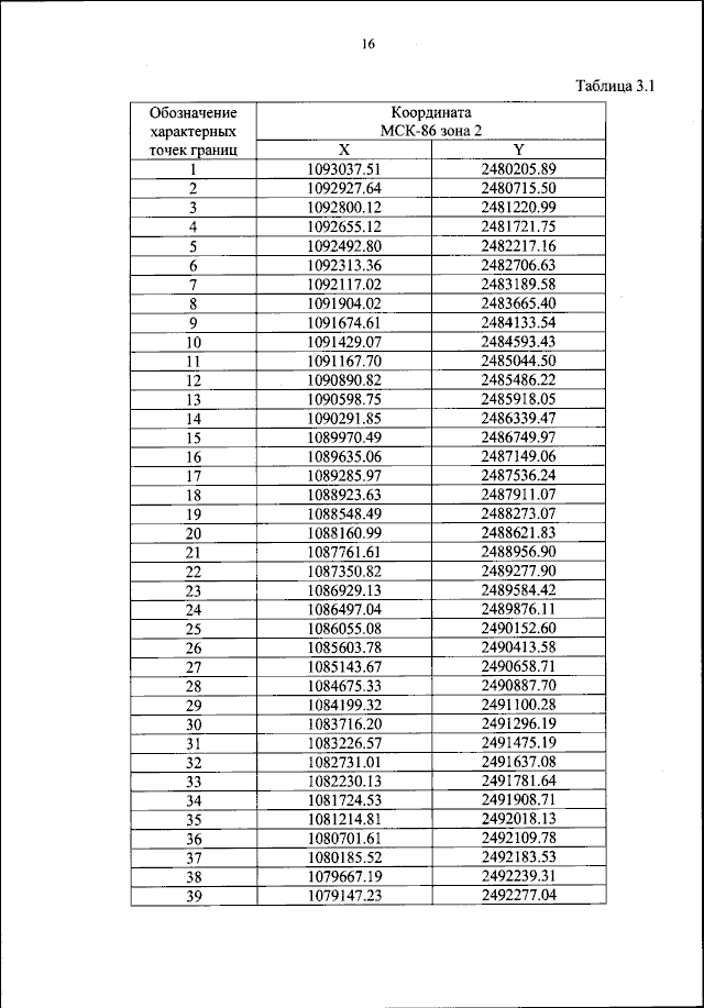
Приказ Федерального агентства воздушного транспорта от 30.06.2023 № 470-П
"Об установлении приаэродромной территории аэродрома гражданской авиации Нягань"
(Зарегистрирован 01.08.2023 № 74572)
Номер опубликования: 0001202308020007
Дата опубликования: 02.08.2023
Страница №17 из 143:
Увеличить