Официальное опубликование правовых актов
ОФИЦИАЛЬНОЕ ОПУБЛИКОВАНИЕ
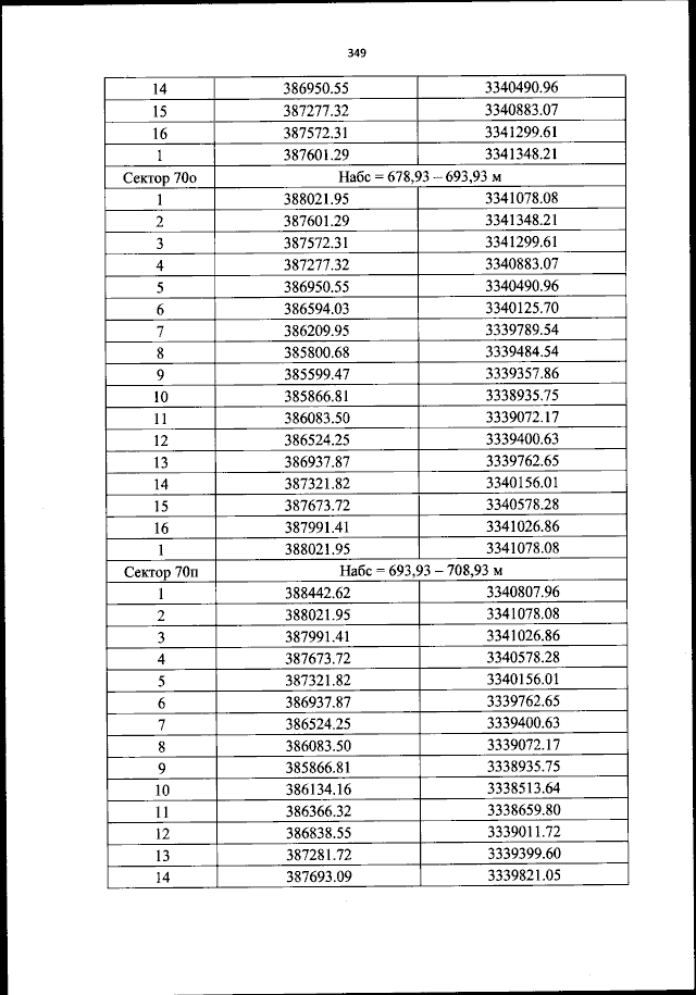
Приказ Федерального агентства воздушного транспорта от 27.06.2023 № 453-П
"Об установлении приаэродромной территории аэродрома гражданской авиации Иркутск"
(Зарегистрирован 25.07.2023 № 74434)
Номер опубликования: 0001202307260011
Дата опубликования: 26.07.2023
Страница №350 из 513:
Увеличить