Официальное опубликование правовых актов
ОФИЦИАЛЬНОЕ ОПУБЛИКОВАНИЕ
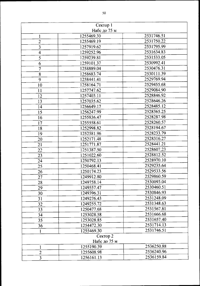
Приказ Федерального агентства воздушного транспорта от 27.06.2023 № 452-П
"Об установлении приаэродромной территории аэродрома гражданской авиации Белоярский"
(Зарегистрирован 25.07.2023 № 74435)
Номер опубликования: 0001202307260006
Дата опубликования: 26.07.2023
Страница №51 из 134:
Увеличить