Официальное опубликование правовых актов
ОФИЦИАЛЬНОЕ ОПУБЛИКОВАНИЕ
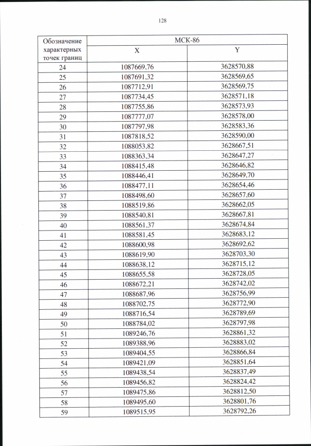
Приказ Федерального агентства воздушного транспорта от 19.06.2023 № 411-П
"Об установлении приаэродромной территории аэродрома гражданской авиации Когалым"
(Зарегистрирован 17.07.2023 № 74312)
Номер опубликования: 0001202307170024
Дата опубликования: 17.07.2023
Страница №129 из 184:
Увеличить