Официальное опубликование правовых актов
ОФИЦИАЛЬНОЕ ОПУБЛИКОВАНИЕ
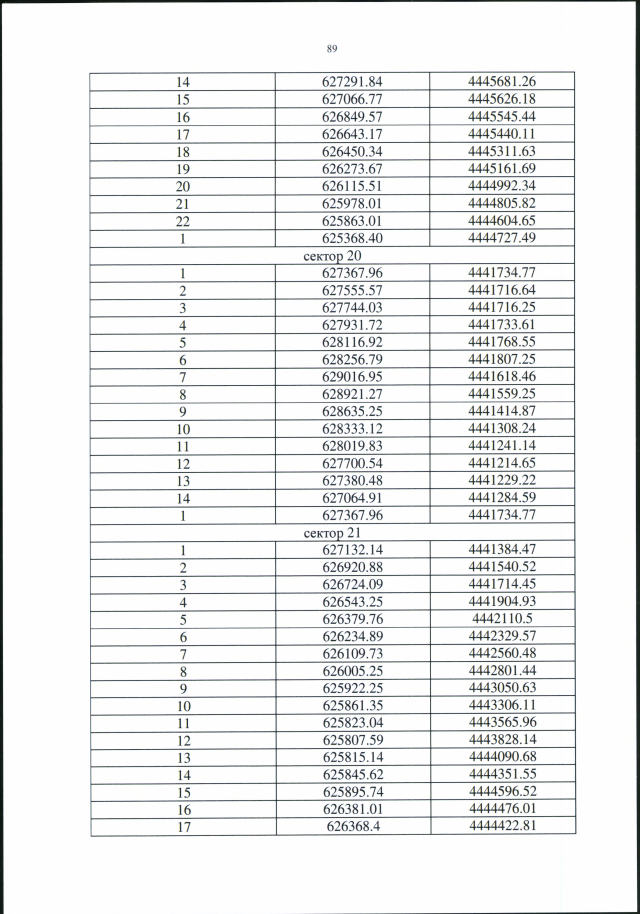
Приказ Федерального агентства воздушного транспорта от 17.04.2023 № 233-П
"Об установлении приаэродромной территории аэродрома гражданской авиации Сыктывкар"
(Зарегистрирован 13.07.2023 № 74248)
Номер опубликования: 0001202307130020
Дата опубликования: 13.07.2023
Страница №90 из 132:
Увеличить