Официальное опубликование правовых актов
ОФИЦИАЛЬНОЕ ОПУБЛИКОВАНИЕ
Приказ Министерства транспорта Российской Федерации от 29.05.2023 № 192
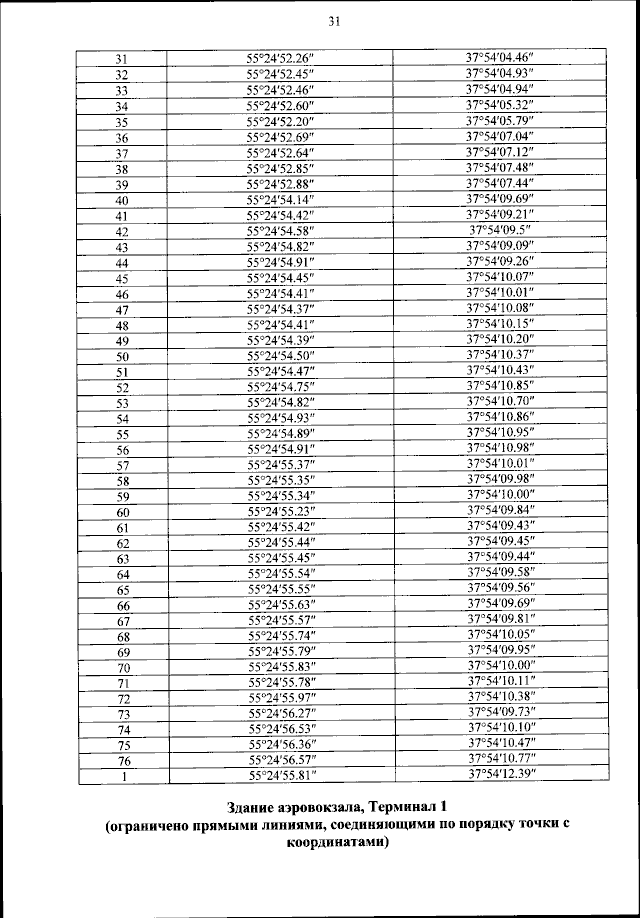
"Об открытии воздушного грузо-пассажирского постоянного многостороннего пункта пропуска через государственную границу Российской Федерации в международном аэропорту Москва (Домодедово), реконструированного в пределах "Пассажирского терминала "Домодедово-2" в рамках 2-го этапа, и об утверждении пределов данного пункта пропуска через государственную границу Российской Федерации"
(Зарегистрирован 29.06.2023 № 74033)
Номер опубликования: 0001202306290001
Дата опубликования: 29.06.2023
Страница №33 из 122:
Увеличить