Официальное опубликование правовых актов
ОФИЦИАЛЬНОЕ ОПУБЛИКОВАНИЕ
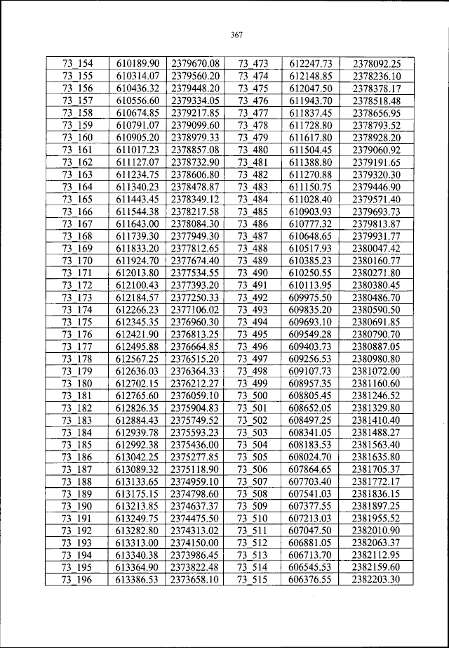
Приказ Федерального агентства воздушного транспорта от 02.05.2023 № 272-П
"Об установлении приаэродромной территории аэродрома гражданской авиации Барнаул (Михайловка)"
(Зарегистрирован 26.06.2023 № 73992)
Номер опубликования: 0001202306270009
Дата опубликования: 27.06.2023
Страница №368 из 531:
Увеличить