Официальное опубликование правовых актов
ОФИЦИАЛЬНОЕ ОПУБЛИКОВАНИЕ
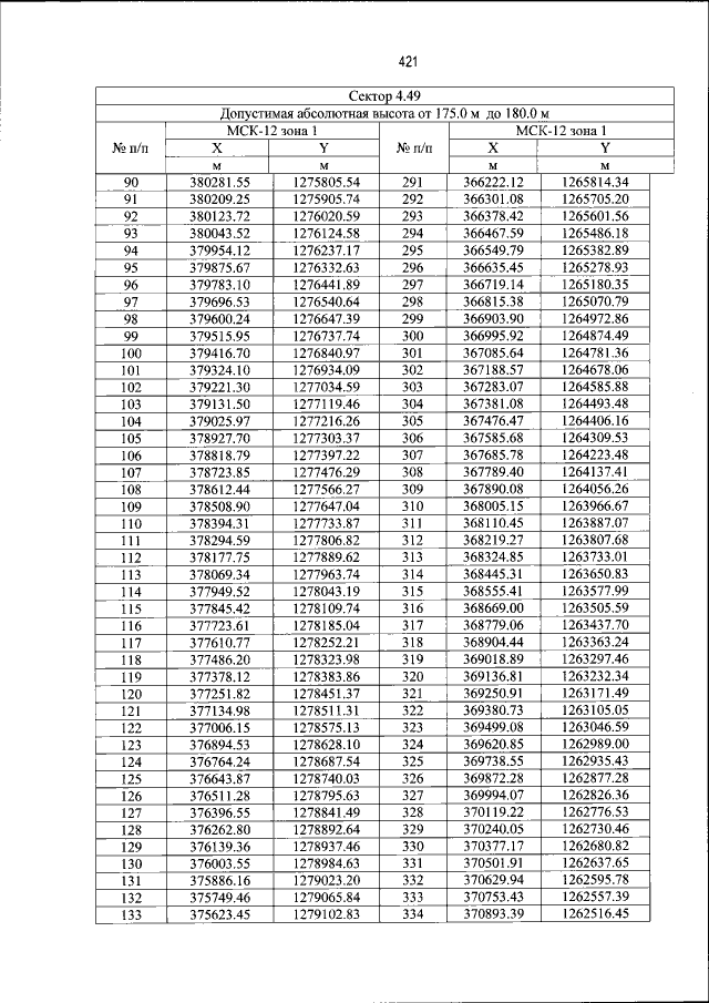
Приказ Федерального агентства воздушного транспорта от 21.02.2023 № 89-П
"Об установлении приаэродромной территории аэродрома гражданской авиации Йошкар-Ола"
(Зарегистрирован 07.04.2023 № 72928)
Номер опубликования: 0001202304100008
Дата опубликования: 10.04.2023
Страница №422 из 629:
Увеличить