Официальное опубликование правовых актов
ОФИЦИАЛЬНОЕ ОПУБЛИКОВАНИЕ
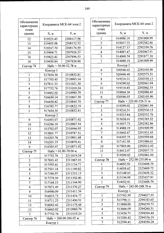
Приказ Федерального агентства воздушного транспорта от 02.02.2023 № 57-П
"Об установлении приаэродромной территории аэродрома гражданской авиации Саратов (Гагарин)"
(Зарегистрирован 29.03.2023 № 72778)
Номер опубликования: 0001202303300003
Дата опубликования: 30.03.2023
Страница №350 из 384:
Увеличить