Официальное опубликование правовых актов
ОФИЦИАЛЬНОЕ ОПУБЛИКОВАНИЕ
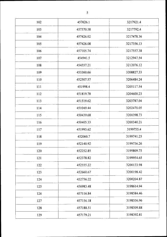
Приказ Министерства природных ресурсов и экологии Российской Федерации от 12.10.2022 № 665
"Об утверждении Положения о государственном природном заказнике федерального значения "Саратовский"
(Зарегистрирован 28.12.2022 № 71860)
Номер опубликования: 0001202212280095
Дата опубликования: 28.12.2022
Страница №14 из 16:
Увеличить