Официальное опубликование правовых актов
ОФИЦИАЛЬНОЕ ОПУБЛИКОВАНИЕ
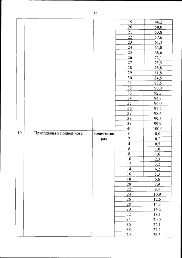
Приказ Министерства спорта Российской Федерации от 30.11.2022 № 1099
"Об утверждении федерального стандарта спортивной подготовки по виду спорта "велосипедный спорт"
(Зарегистрирован 19.12.2022 № 71658)
Номер опубликования: 0001202212200018
Дата опубликования: 20.12.2022
Страница №30 из 80:
Увеличить