Официальное опубликование правовых актов
ОФИЦИАЛЬНОЕ ОПУБЛИКОВАНИЕ
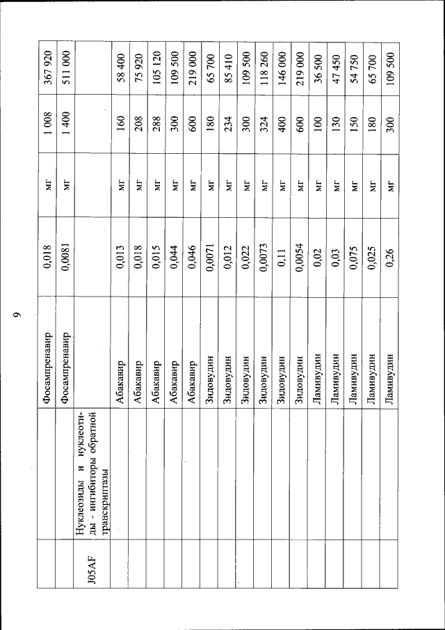
Приказ Министерства здравоохранения Российской Федерации от 04.07.2022 № 457н
"Об утверждении стандарта медицинской помощи детям при ВИЧ-инфекции (диагностика, лечение и диспансерное наблюдение)"
(Зарегистрирован 05.08.2022 № 69525)
Номер опубликования: 0001202208050022
Дата опубликования: 05.08.2022
Страница №10 из 13:
Увеличить