Официальное опубликование правовых актов
ОФИЦИАЛЬНОЕ ОПУБЛИКОВАНИЕ
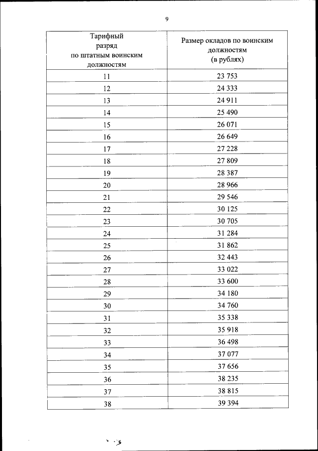
Приказ Федеральной службы войск национальной гвардии Российской Федерации от 30.06.2022 № 214
"О внесении изменений в Порядок обеспечения денежным довольствием и предоставления отдельных (денежных) выплат в войсках национальной гвардии Российской Федерации, определенный приказом Федеральной службы войск национальной гвардии Российской Федерации от 28 ноября 2020 г. № 472"
(Зарегистрирован 05.08.2022 № 69523)
Номер опубликования: 0001202208050019
Дата опубликования: 05.08.2022
Страница №9 из 12:
Увеличить