Официальное опубликование правовых актов
ОФИЦИАЛЬНОЕ ОПУБЛИКОВАНИЕ
Приказ Министерства труда и социальной защиты Российской Федерации от 21.04.2022 № 238н
"Об утверждении профессионального стандарта "Слесарь механосборочных работ"
(Зарегистрирован 27.05.2022 № 68612)
Номер опубликования: 0001202205270025
Дата опубликования: 27.05.2022
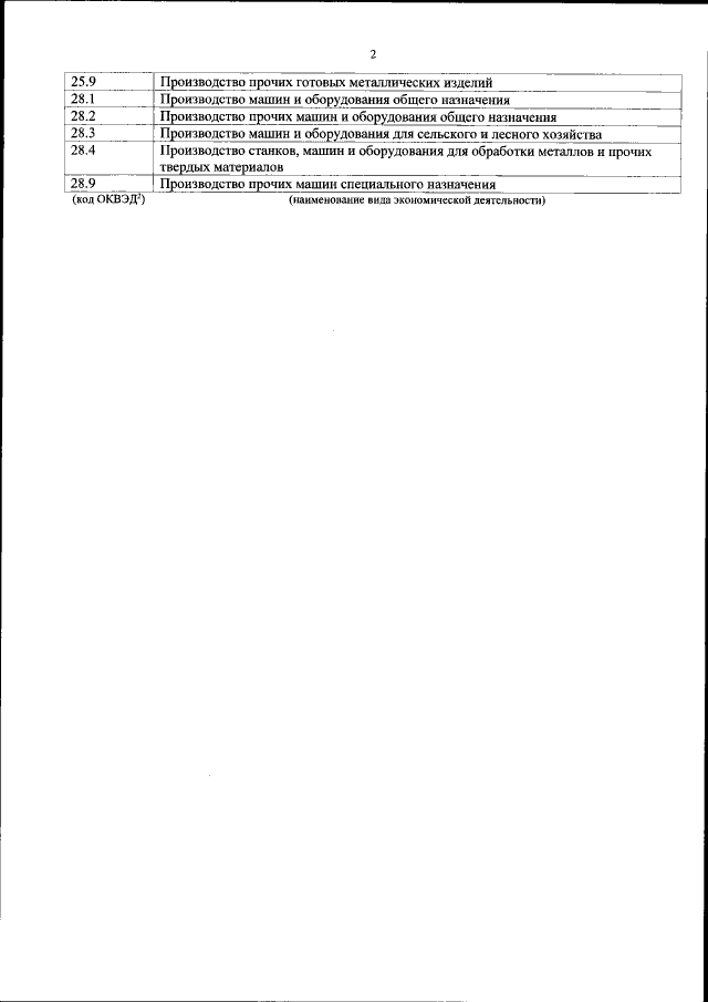
Страница №3 из 81:
Увеличить