Официальное опубликование правовых актов
ОФИЦИАЛЬНОЕ ОПУБЛИКОВАНИЕ
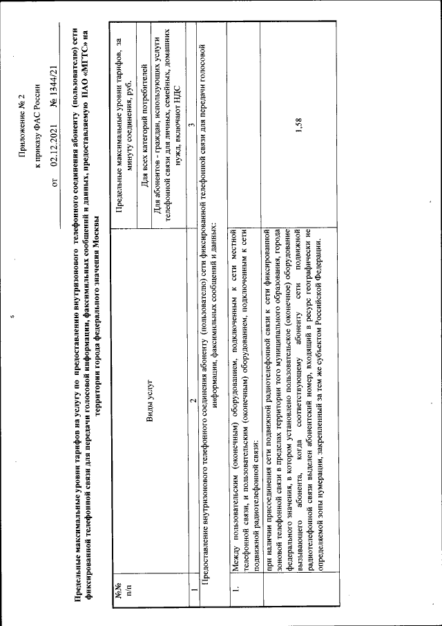
Приказ Федеральной антимонопольной службы от 02.12.2021 № 1344/21
"Об утверждении предельных максимальных уровней тарифов на услуги местной и внутризоновой телефонной связи, предоставляемые ПАО "МГТС" на территории города федерального значения Москвы"
(Зарегистрирован 11.03.2022 № 67694)
Номер опубликования: 0001202203110042
Дата опубликования: 11.03.2022
Страница №5 из 5:
Увеличить