Официальное опубликование правовых актов
ОФИЦИАЛЬНОЕ ОПУБЛИКОВАНИЕ
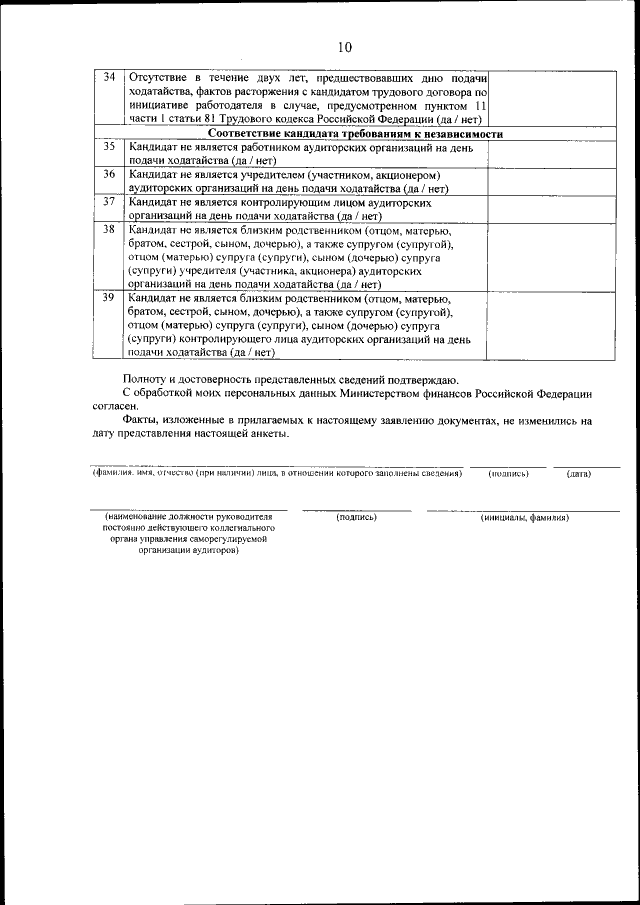
Приказ Министерства финансов Российской Федерации от 23.12.2021 № 222н
"Об утверждении Порядка согласования документов саморегулируемой организации аудиторов и Порядка согласования кандидата на должность единоличного исполнительного органа саморегулируемой организации аудиторов и проверки его соответствия требованиям, установленным частями 2 - 4 статьи 17.2 Федерального закона от 30 декабря 2008 г. № 307-ФЗ "Об аудиторской деятельности"
(Зарегистрирован 25.01.2022 № 67001)
Номер опубликования: 0001202201250029
Дата опубликования: 25.01.2022
Страница №13 из 13:
Увеличить