Официальное опубликование правовых актов
ОФИЦИАЛЬНОЕ ОПУБЛИКОВАНИЕ
Приказ Министерства транспорта Российской Федерации от 21.04.2021 № 133
"Об открытии воздушного грузо-пассажирского постоянного многостороннего пункта пропуска через государственную границу Российской Федерации в международном аэропорту Челябинск (Баландино) (Челябинская область)"
(Зарегистрирован 31.05.2021 № 63705)
Номер опубликования: 0001202105310035
Дата опубликования: 31.05.2021
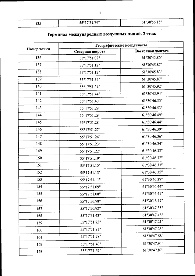
Страница №9 из 24:
Увеличить