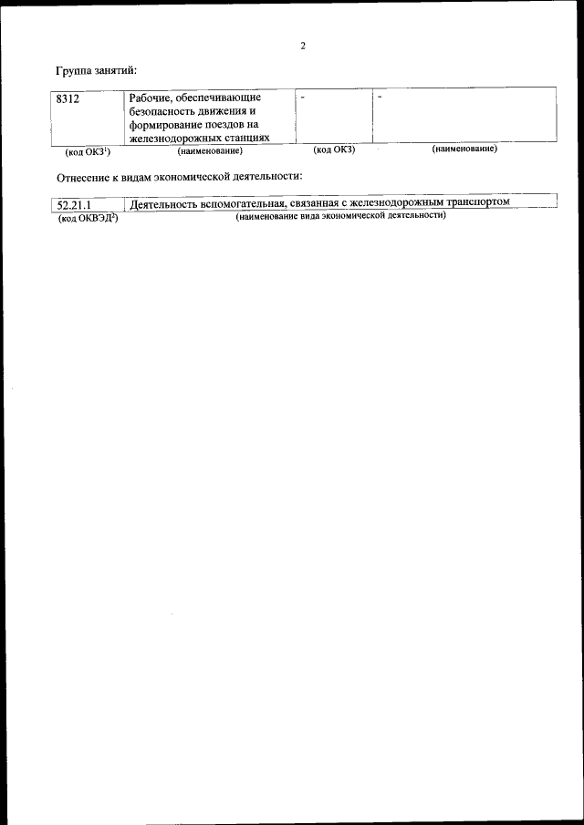
Приказ Министерства труда и социальной защиты Российской Федерации от 30.03.2021 № 158н
"Об утверждении профессионального стандарта "Составитель поездов, кондуктор грузовых поездов"
(Зарегистрирован 30.04.2021 № 63346)
"Об утверждении профессионального стандарта "Составитель поездов, кондуктор грузовых поездов"
(Зарегистрирован 30.04.2021 № 63346)
Номер опубликования: 0001202104300065
Дата опубликования:
30.04.2021
