Официальное опубликование правовых актов
ОФИЦИАЛЬНОЕ ОПУБЛИКОВАНИЕ
Постановление Главного государственного санитарного врача Российской Федерации от 28.01.2021 № 4
"Об утверждении санитарных правил и норм СанПиН 3.3686-21 "Санитарно-эпидемиологические требования по профилактике инфекционных болезней"
(Зарегистрирован 15.02.2021 № 62500)
Номер опубликования: 0001202102180019
Дата опубликования: 18.02.2021
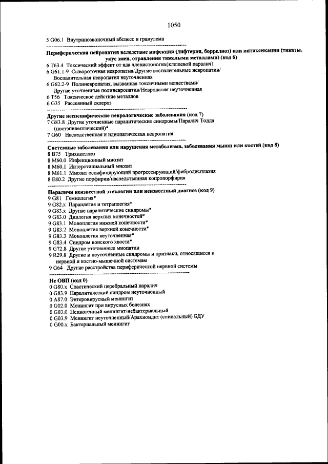
Страница №1050 из 1092:
Увеличить