Официальное опубликование правовых актов
ОФИЦИАЛЬНОЕ ОПУБЛИКОВАНИЕ
Приказ Федеральной службы исполнения наказаний от 30.11.2020 № 862
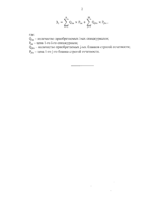
"Об утверждении порядка расчета нормативных затрат на обеспечение функций общеобразовательных организаций ФСИН России в части приобретения типографских работ и услуг, включая приобретение спецжурналов и бланков строгой отчетности"
Номер опубликования: 0001202101250031
Дата опубликования: 25.01.2021
Страница №3 из 3:
Увеличить