Официальное опубликование правовых актов
ОФИЦИАЛЬНОЕ ОПУБЛИКОВАНИЕ
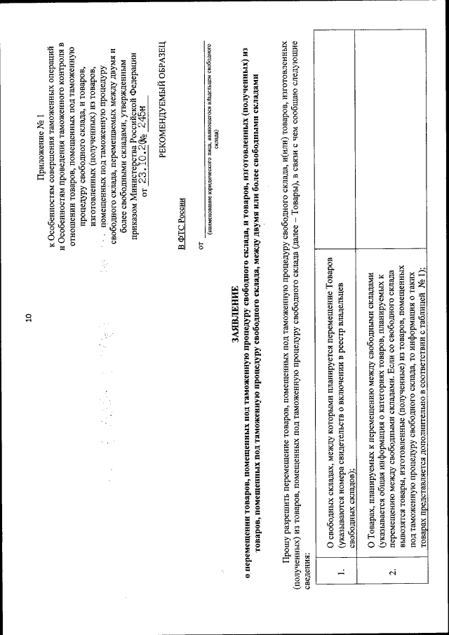
Приказ Министерства финансов Российской Федерации от 23.10.2020 № 245н
"Об установлении случая, при котором товары, помещенные под таможенную процедуру свободного склада, могут размещаться и находиться на территориях нескольких свободных складов, владельцем которых является юридическое лицо, являющееся декларантом товаров, помещенных под таможенную процедуру свободного склада, перемещения таких товаров и товаров, изготовленных (полученных) из товаров, помещенных под таможенную процедуру свободного склада, между такими складами, а также об установлении особенностей совершения таможенных операций и проведения таможенного контроля в отношении таких товаров"
(Зарегистрирован 26.10.2020 № 60568)
Номер опубликования: 0001202010270033
Дата опубликования: 27.10.2020
Страница №12 из 25:
Увеличить