Официальное опубликование правовых актов
ОФИЦИАЛЬНОЕ ОПУБЛИКОВАНИЕ
Приказ Министерства культуры Российской Федерации от 28.07.2020 № 845
"Об установлении границ зон охраны объекта культурного наследия федерального значения "Ансамбль Казанского кремля", ХV - первая четверть ХХ вв. (Республика Татарстан (Татарстан)), включенного в Список всемирного наследия, об утверждении требований к градостроительным регламентам в границах территорий данных зон, и о признании утратившим силу приказа Минкультуры России от 08.09.2015 № 2367"
(Зарегистрирован 24.08.2020 № 59415)
Номер опубликования: 0001202008250034
Дата опубликования: 25.08.2020
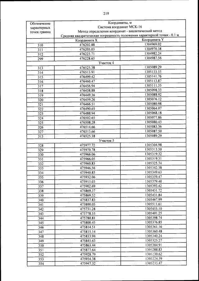
Страница №219 из 1011:
Увеличить