Официальное опубликование правовых актов
ОФИЦИАЛЬНОЕ ОПУБЛИКОВАНИЕ
Приказ Министерства транспорта Российской Федерации от 27.03.2020 № 90
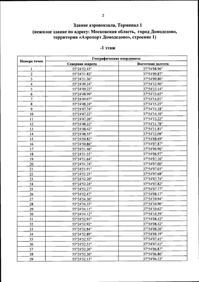
"Об открытии воздушного грузо-пассажирского постоянного многостороннего пункта пропуска через государственную границу Российской Федерации в международном аэропорту Москва (Домодедово), реконструированного в пределах "пассажирского терминала "Домодедово-2" I этап"
(Зарегистрирован 15.06.2020 № 58639)
Номер опубликования: 0001202006150026
Дата опубликования: 15.06.2020
Страница №4 из 36:
Увеличить