Официальное опубликование правовых актов
ОФИЦИАЛЬНОЕ ОПУБЛИКОВАНИЕ
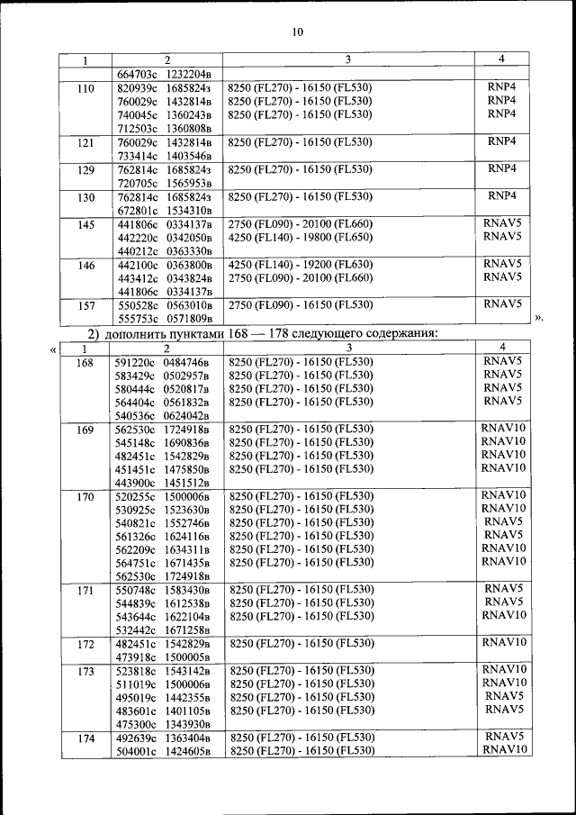
Приказ Министерства транспорта Российской Федерации от 23.08.2019 № 277
"О внесении изменений в маршруты обслуживания воздушного движения, утвержденные приказом Министерства транспорта Российской Федерации от 11 января 2018 г. № 4"
(Зарегистрирован 20.09.2019 № 55974)
Номер опубликования: 0001201909200033
Дата опубликования: 20.09.2019
Страница №11 из 15:
Увеличить