Официальное опубликование правовых актов
ОФИЦИАЛЬНОЕ ОПУБЛИКОВАНИЕ
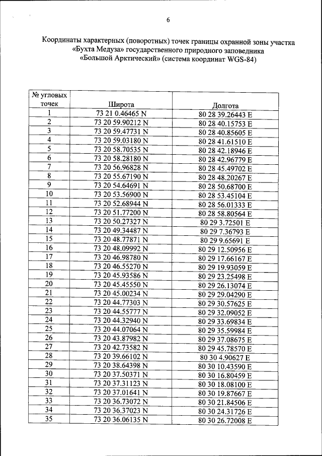
Приказ Министерства природных ресурсов и экологии Российской Федерации от 04.07.2019 № 442
"Об охранной зоне участка "Бухта Медуза" государственного природного заповедника "Большой Арктический"
(Зарегистрирован 14.08.2019 № 55587)
Номер опубликования: 0001201908140009
Дата опубликования: 14.08.2019
Страница №6 из 16:
Увеличить