Официальное опубликование правовых актов
ОФИЦИАЛЬНОЕ ОПУБЛИКОВАНИЕ
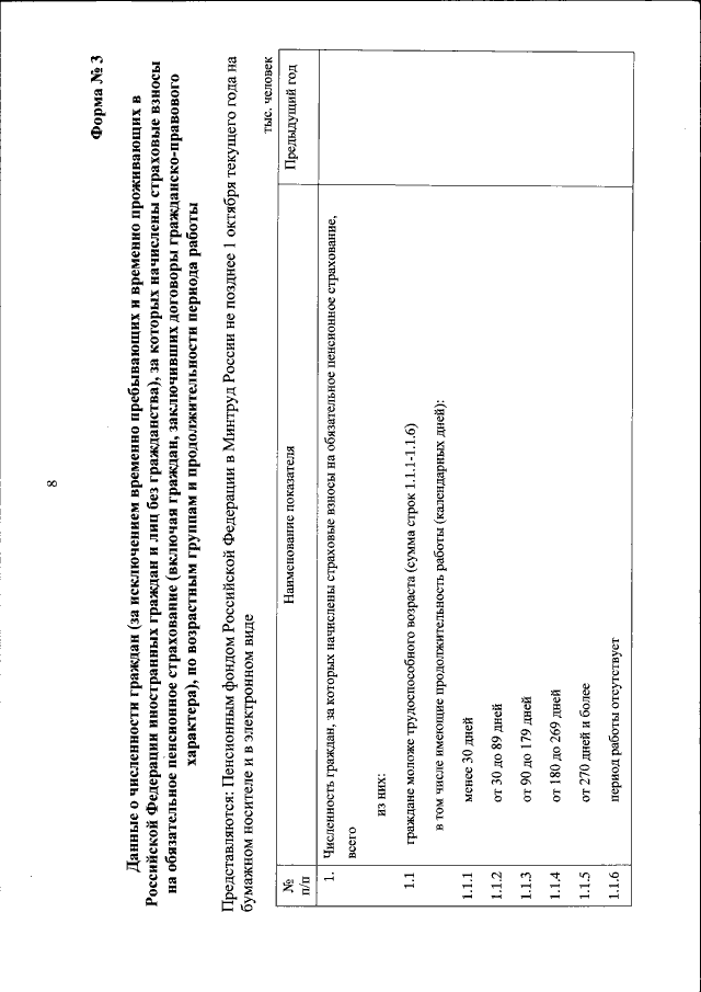
Приказ Министерства труда и социальной защиты Российской Федерации от 08.02.2019 № 61н
"Об утверждении форм представления данных, необходимых для разработки прогноза баланса трудовых ресурсов"
(Зарегистрирован 16.04.2019 № 54389)
Номер опубликования: 0001201904160067
Дата опубликования: 16.04.2019
Страница №10 из 14:
Увеличить