Официальное опубликование правовых актов
ОФИЦИАЛЬНОЕ ОПУБЛИКОВАНИЕ
Приказ Федерального агентства водных ресурсов от 07.09.2018 № 187
"Об утверждении Правил использования водных ресурсов Бурейского водохранилища на р. Бурее"
(Зарегистрирован 03.10.2018 № 52319)
Номер опубликования: 0001201810050038
Дата опубликования: 05.10.2018
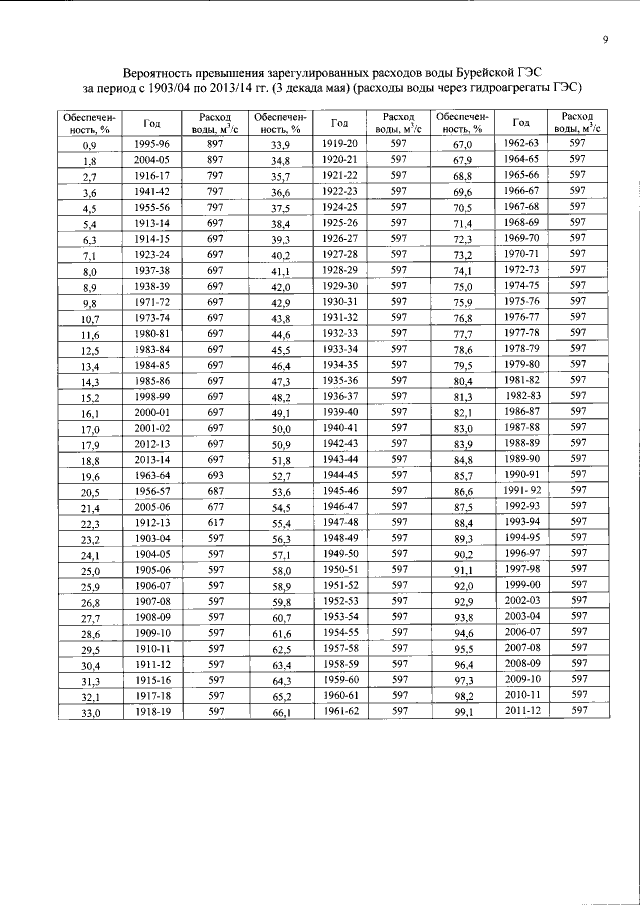
Страница №76 из 420:
Увеличить