Официальное опубликование правовых актов
ОФИЦИАЛЬНОЕ ОПУБЛИКОВАНИЕ
Приказ Федерального агентства водных ресурсов от 18.07.2018 № 151
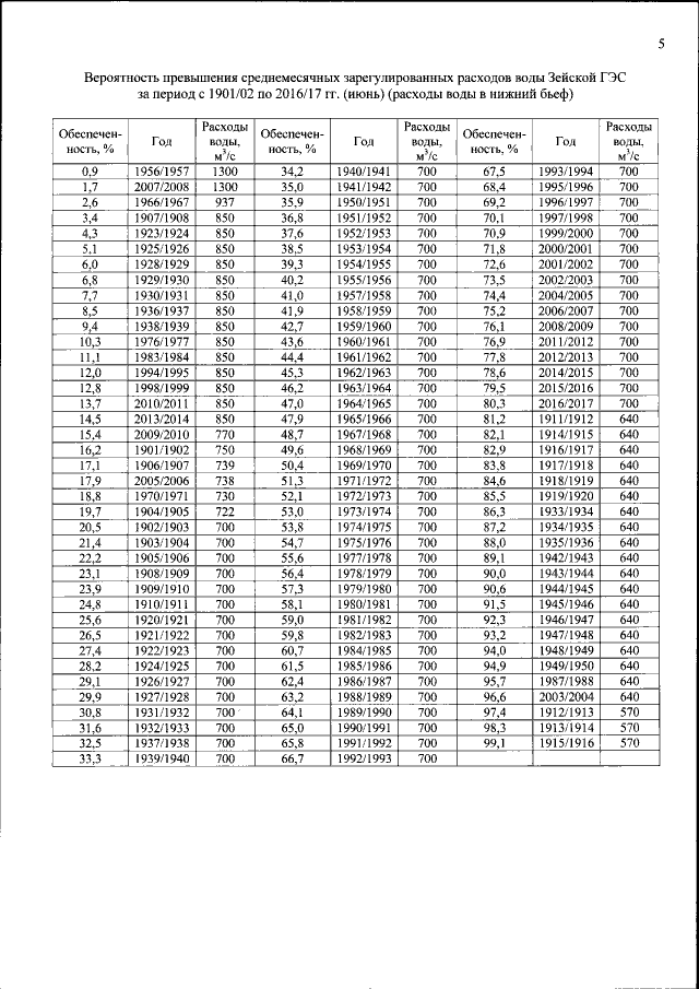
"Об утверждении Правил использования водных ресурсов Зейского водохранилища на р. Зее"
(Зарегистрирован 27.08.2018 № 52010)
Номер опубликования: 0001201808290002
Дата опубликования: 29.08.2018
Страница №64 из 637:
Увеличить