Официальное опубликование правовых актов
ОФИЦИАЛЬНОЕ ОПУБЛИКОВАНИЕ
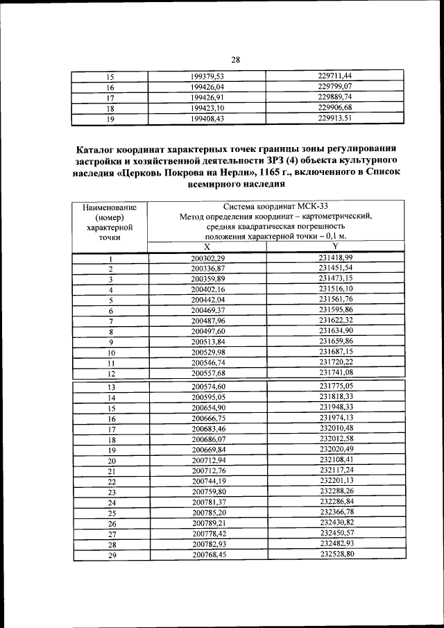
Приказ Министерства культуры Российской Федерации от 18.12.2017 № 2125
"Об утверждении границ зон охраны объекта культурного наследия федерального значения "Церковь Покрова на Нерли", 1165 г.‚ включенного в Список всемирного наследия, а также особых режимов использования земель и требований к градостроительным регламентам в границах данных зон"
(Зарегистрирован 14.03.2018 № 50348)
Номер опубликования: 0001201803150033
Дата опубликования: 15.03.2018
Страница №28 из 115:
Увеличить