Официальное опубликование правовых актов
ОФИЦИАЛЬНОЕ ОПУБЛИКОВАНИЕ
Приказ Министерства труда и социальной защиты Российской Федерации от 28.12.2017 № 883н
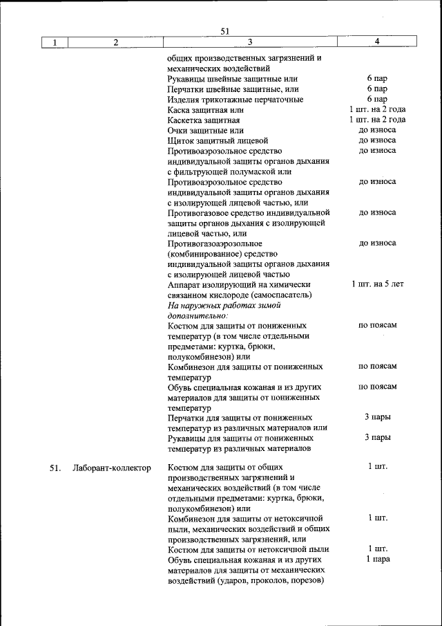
"Об утверждении Типовых норм бесплатной выдачи специальной одежды, специальной обуви и других средств индивидуальной защиты работникам, занятым на геологических, топографо-геодезических, изыскательских, землеустроительных работах и в картографическом производстве (занятым на работах с вредными и (или) опасными условиями труда, а также на работах, выполняемых в особых температурных условиях или связанных с загрязнением)"
(Зарегистрирован 01.03.2018 № 50192)
Номер опубликования: 0001201803020005
Дата опубликования: 02.03.2018
Страница №52 из 85:
Увеличить