Официальное опубликование правовых актов
ОФИЦИАЛЬНОЕ ОПУБЛИКОВАНИЕ
Приказ Министерства культуры Российской Федерации от 11.01.2017 № 15
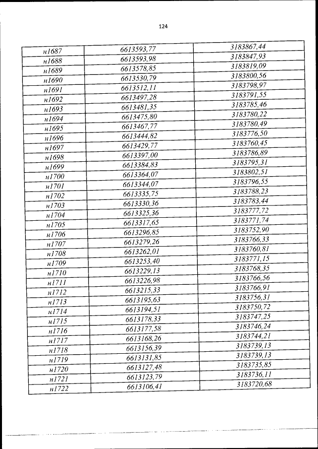
"О включении выявленных объектов культурного наследия в единый государственный реестр объектов культурного наследия (памятников истории и культуры) народов Российской Федерации в качестве объектов культурного наследия федерального значения в составе объекта культурного наследия федерального значения "Водоподводящая система Петергофа", 1720-1721 гг.‚ инж.-гидравлик Туволков В.Г.‚ 2-я пол. XVIII в., 1944-1948 гг.‚ 1970-е гг. (реставрация), расположенного по адресу: город Санкт-Петербург, Ленинградская область, и утверждении границ их территории"
(Зарегистрирован 03.02.2017 № 45527)
Номер опубликования: 0001201702060036
Дата опубликования: 06.02.2017
Страница №129 из 171:
Увеличить