Официальное опубликование правовых актов
ОФИЦИАЛЬНОЕ ОПУБЛИКОВАНИЕ
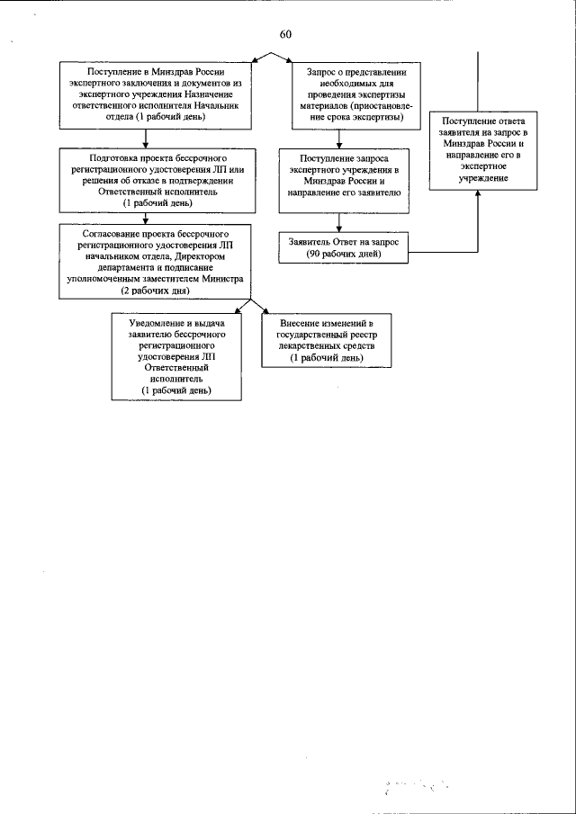
Приказ Министерства здравоохранения Российской Федерации от 21.09.2016 № 725н
"Об утверждении Административного регламента Министерства здравоохранения Российской Федерации по предоставлению государственной услуги по государственной регистрации лекарственных препаратов для медицинского применения"
(Зарегистрирован 23.01.2017 № 45357)
Номер опубликования: 0001201701240030
Дата опубликования: 24.01.2017
Страница №62 из 68:
Увеличить