Официальное опубликование правовых актов
ОФИЦИАЛЬНОЕ ОПУБЛИКОВАНИЕ
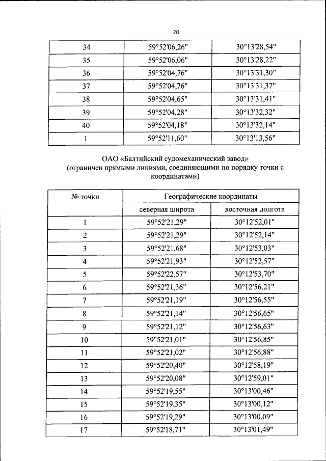
Приказ Министерства транспорта Российской Федерации от 16.08.2016 № 240
"Об открытии морского грузо-пассажирского постоянного многостороннего пункта пропуска через государственную границу Российской Федерации в морском порту Большой порт Санкт-Петербург"
(Зарегистрирован 12.09.2016 № 43629)
Номер опубликования: 0001201609130047
Дата опубликования: 13.09.2016
Страница №22 из 70:
Увеличить