Официальное опубликование правовых актов
ОФИЦИАЛЬНОЕ ОПУБЛИКОВАНИЕ
Приказ Министерства здравоохранения Российской Федерации от 05.05.2016 № 284н
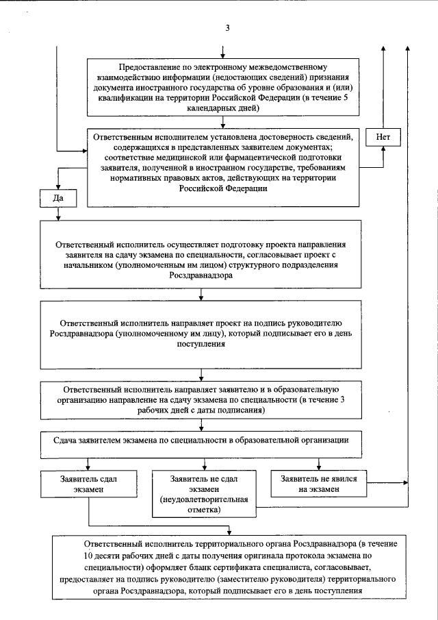
"Об утверждении Административного регламента Федеральной службы по надзору в сфере здравоохранения по предоставлению государственной услуги по выдаче сертификата специалиста лицам, получившим медицинское или фармацевтическое образование в иностранных государствах"
(Зарегистрирован 25.08.2016 № 43398)
Номер опубликования: 0001201608260005
Дата опубликования: 26.08.2016
Страница №39 из 42:
Увеличить