Официальное опубликование правовых актов
ОФИЦИАЛЬНОЕ ОПУБЛИКОВАНИЕ
Приказ Министерства экономического развития Российской Федерации от 18.08.2015 № 571
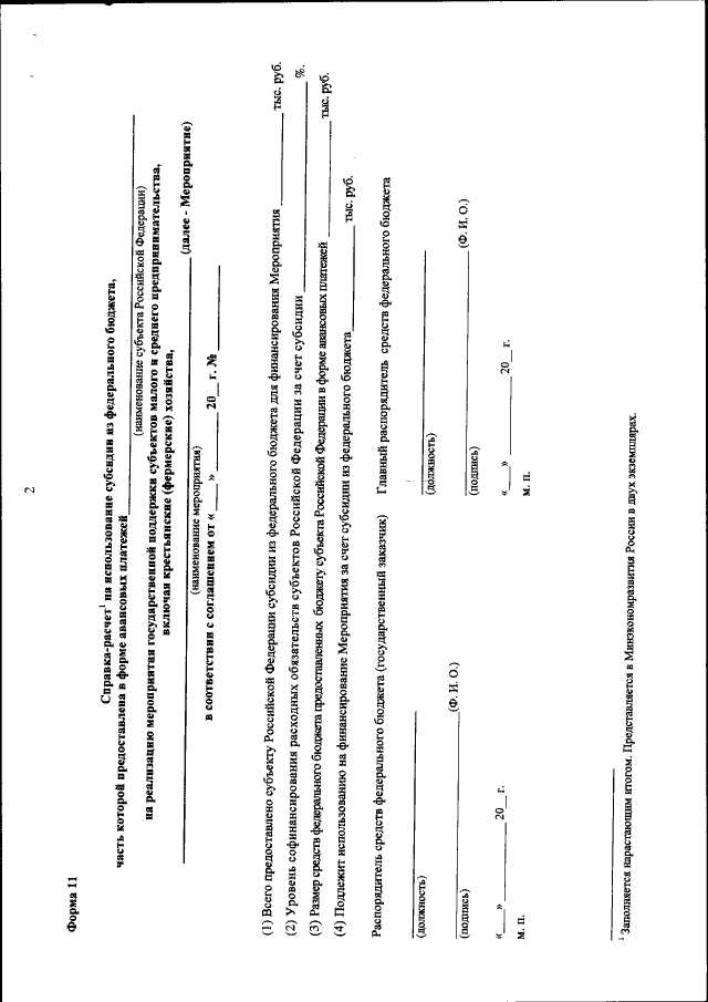
"Об утверждении перечня и форм документов, подтверждающих осуществление расходов бюджета субъекта Российской Федерации, источником финансового обеспечения которых являются субсидии из федерального бюджета бюджетам субъектов Российской Федерации на государственную поддержку малого и среднего предпринимательства, включая крестьянские (фермерские) хозяйства, отчета о достижении значений показателей результативности использования субсидии"
(Зарегистрирован 25.08.2015 № 38669)
Номер опубликования: 0001201508270010
Дата опубликования: 27.08.2015
Страница №19 из 20:
Увеличить