Официальное опубликование правовых актов
ОФИЦИАЛЬНОЕ ОПУБЛИКОВАНИЕ
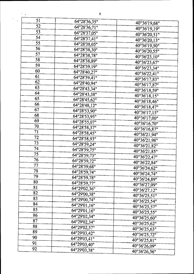
Приказ Федерального агентства по обустройству государственной границы Российской Федерации от 16.04.2015 № 89-ОД
"Об утверждении пределов морского грузо-пассажирского постоянного многостороннего пункта пропуска через государственную границу Российской Федерации в морском порту Архангельск (Архангельская область)"
(Зарегистрирован 08.05.2015 № 37195)
Номер опубликования: 0001201505130025
Дата опубликования: 13.05.2015
Страница №10 из 19:
Увеличить