Официальное опубликование правовых актов
ОФИЦИАЛЬНОЕ ОПУБЛИКОВАНИЕ
Приказ Министерства природных ресурсов и экологии Российской Федерации от 25.02.2015 № 72
"Об утверждении Положения о государственном природном заказнике федерального значения "Долина дзерена"
(Зарегистрирован 07.05.2015 № 37177)
Номер опубликования: 0001201505120033
Дата опубликования: 12.05.2015
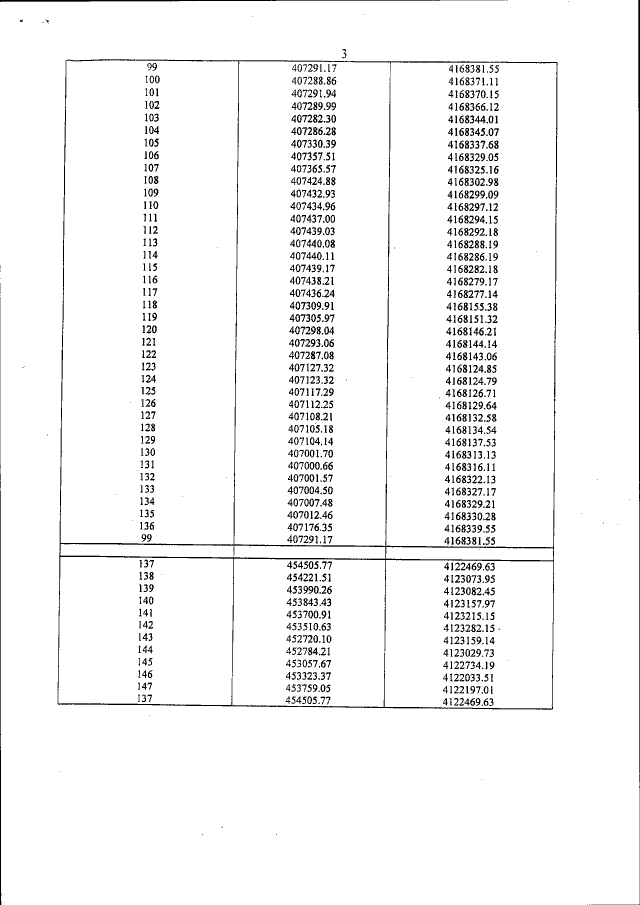
Страница №9 из 9:
Увеличить