Официальное опубликование правовых актов
ОФИЦИАЛЬНОЕ ОПУБЛИКОВАНИЕ
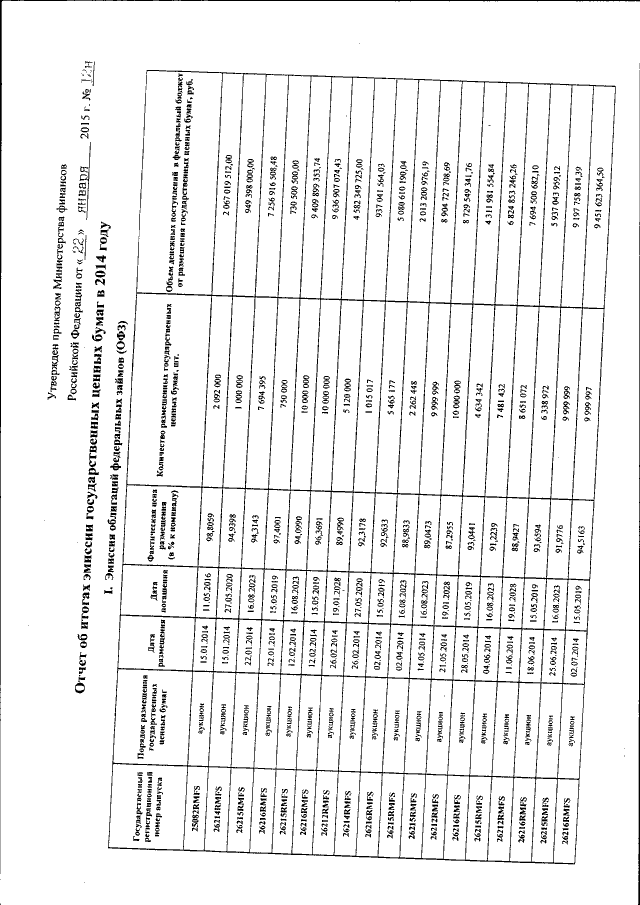
Приказ Министерства финансов Российской Федерации от 22.01.2015 № 12н
"Об утверждении Отчета об итогах эмиссии государственных ценных бумаг в 2014 году"
(Зарегистрирован 16.02.2015 № 36045)
Номер опубликования: 0001201502180017
Дата опубликования: 18.02.2015
Страница №2 из 4:
Увеличить