Официальное опубликование правовых актов
ОФИЦИАЛЬНОЕ ОПУБЛИКОВАНИЕ
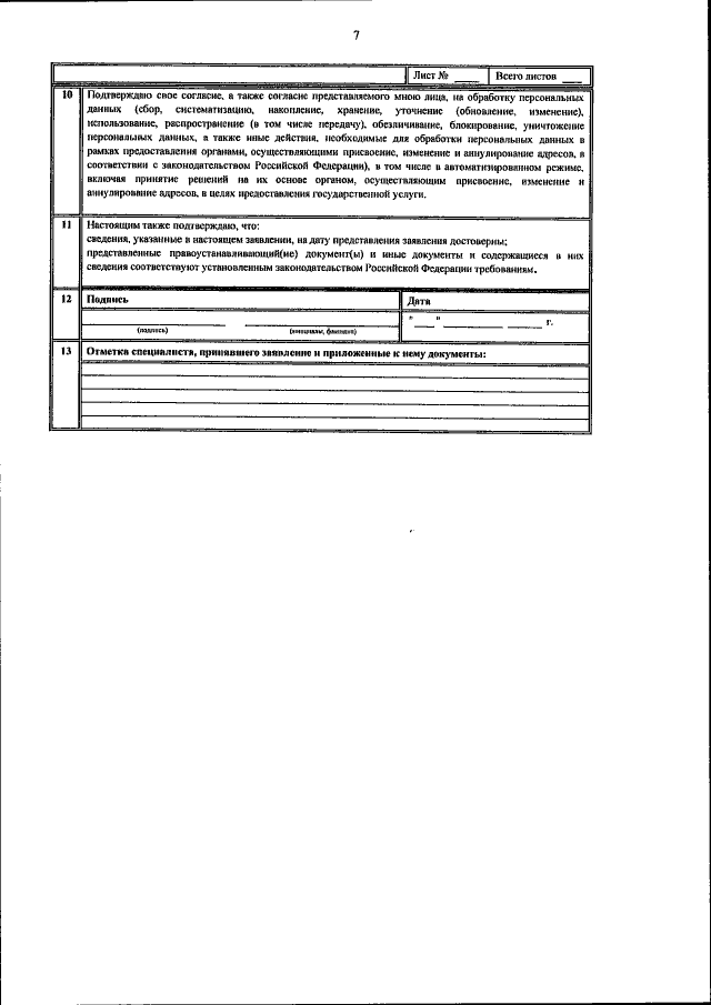
Приказ Министерства финансов Российской Федерации от 11.12.2014 № 146н
"Об утверждении форм заявления о присвоении объекту адресации адреса или аннулировании его адреса, решения об отказе в присвоении объекту адресации адреса или аннулировании его адреса"
(Зарегистрирован 09.02.2015 № 35948)
Номер опубликования: 0001201502120009
Дата опубликования: 12.02.2015
Страница №8 из 10:
Увеличить